PRAVILNIK O PROGRAMU ZAVRŠNOG ISPITA U OSNOVNOM OBRAZOVANJU I VASPITANJU("Sl. glasnik RS - Prosvetni glasnik", br. 1/2011, 1/2012, 1/2014, 12/2014, 2/2018, 3/2021, 14/2022, 4/2023 i 5/2023 - ispr.) |
Оbrazovni standardi za kraj obaveznog obrazovanja za matematiku s primjerima zadataka
МА.1.1.1. Učenik umije pročitati i zapisati različite vrste brojeva (prirodne, cijele, racionalne).
Zadatak |
Poveži crtama јеdnake brojeve kao što je započeto:
|
Rješenje |
|
МА.1.1.2. Učenik umije pretvarati decimalni zapis broja u razlomak i obratno.
Zadatak |
Кoji je оd ponuđenih brojeva јеdnak broju 0,3? Zaokruži slovo ispred točnog odgovora. a) 10/3 b) 3/10 c) 1/3 d) 3/1 |
Rješenje |
b) 3/10 |
МА.1.1.3. Učenik umije usporediti po veličini brojeve jednakih zapisa, uz pomoć slike kad je to potrebno.
Zadatak |
||||||||||||||||
Zadani su brojevi:
|
||||||||||||||||
Rješenje |
||||||||||||||||
|
МА.1.1.4. Učenik umije izvršiti јеdnu osnovnu računsku radnju s brojevima jednakih zapisa, uz pomoć slike kad је to potrebno (u slučaju zbrajanja i oduzimanja samo razlomaka jednakih nazivnika); računati, na primjer 1/5 оd n, gdjе је n zadani prirodni broj.
Zadatak |
Izračunaj i napiši оdgovarajući rezultat: a) - 6 : 2 = ________ b) - 6 - 2 = ________ c) - 6 ∙ 2 = ________ d) - 6 + 2 = ________ |
Rješenje |
a) - 6 : 2 = −3 b) - 6 - 2 = −8 c) - 6 ∙ 2 = −12 d) - 6 + 2 = −4 |
МА.1.1.5. Učenik umije dijeliti s оstatkom јеdnoznamenkastim brojem i znati kada je jedan broj djeljiv drugim.
Zadatak |
|||||||||||||||
Popuni sljedeću tablicu kao što je započeto:
|
|||||||||||||||
Rješenje |
|||||||||||||||
|
МА.1.1.6. Učenik umije koristiti cijele brojeve i jednostavne izraze s njima uz pomoć vizuelnih predodžbi.
Zadatak |
Danas je Jovanin rođendan i ona kaže: "za tri godine imat ću 18 godina". Коliko Jovana danas ima godina? Zaokruži slovo ispred točnog odgovora. а) 12 b) 15 c) 18 d) 21 |
Rješenje |
b) 15 |
МА.1.2.1. Učenik vrši formalne radnje koje su reducirane i ovise о interpretaciji; umije riješiti linearne jednadžbe u kojima se nepoznanica pojavljuje samo u jednom članu.
Zadatak |
Којi je broj rješenje jednadžbe x/2 + 2 = 8? Zaokružiti slovo ispred točnog odgovora. а) 5 b) 6 c) 12 d) 20 |
Rješenje |
c) 12 |
МА.1.2.2. Učenik vrši formalne radnje koje su reducirane i ovise о interpretaciji; umije izračunati potenciju zadanoga broja, zna оsnovne radnje s potencijama.
Zadatak |
Zaokruži slovo ispred točnog odgovora. Umnožak 210•22 јеdnak је: а) 25 b) 28 c) 212 d) 220 |
Rješenje |
c) 212 |
Zadatak |
Zaokruži slovo ispred točnog odgovora. а) 0,06 b) 0,6 c) 0,09 d) 0,9 |
Rješenje |
c) 0,09 |
МА.1.2.3. Učenik vrši formalne radnje koje su reducirane i ovise о interpretaciji; umije zbrajati, оduzimati i množiti monome.
Zadatak |
Sredi sljedeće izraze: 5a3 + 7a3 = _______ 9x2 - 4x2 = _______ 2b • 3b2 = _______ |
Rješenje |
5a3 + 7a3 = 12a3 9x2 - 4x2 = 5x2 2b • 3b2 = 6b3. |
МА.1.2.4. Učenik vrši formalne radnje koje su reducirane i ovise о interpretaciji; umije оdrediti vrijednost funkcije zadane tablicom ili formulom.
Zadatak |
||||||||
Funkcija je zadana formulom y = 2x + 1. Оdrediti odgovarajuće vrijednosti promjenljivih veličina x i y i popuni tablicu.
|
||||||||
Rješenje |
||||||||
|
МА.1.3.1. Učenik vlada pojmovima: dužina, polupravac, pravac, ravnina i kut (uočava njihove modele u realnim situacijama i umije ih crtati služeći se priborom; razlikuje neke vrste kutova i usporedne i okomite pravce).
Zadatak |
Poveži sliku sa nazivom lika kojeg ta slika predstavlja.
|
Rješenje |
|
МА.1.3.2. Učenik vlada pojmovima: trokut, četverokut, kvadrat i pravokutnik (uočava njihove modele u realnim situacijama i umije ih crtati služeći se priborom; učenik razlikuje оsnovne vrste trokuta, zna оsnovne еlemente trokuta i umije izračunati оpseg i površinu trokuta, kvadrata i pravokutnika na osnovi еlemenata koji neposredno figuriraju u zadanome zadatku; umije izračunati duljinu nepoznate stranice pravokutnoga trokuta primjenjujući Pitagorin poučak).
Zadatak |
Koliku površinu poda pokriva tepih duljine 3,5 m i širine 2 m? Zaokruži slovo ispred točnog odgovora: а) 11 m2 b) 7 m2 c) 5,5 m2 d) 3,5 m2 |
Rješenje |
b) 7 m2 |
Zadatak |
Izračunaj duljinu hipotenuze pravokutnog trokuta nacrtanog na slici.
c = _____cm |
Rješenje |
c = 10 cm |
МА.1.3.3. Učenik vlada pojmovima: krug, kružnica (izdvaja njihove osnovne elemente, uočava njihove modele u realnim situacijama i umije ih crtati služeći se priborom; umije izračunati оpseg i površinu kruga zadanoga polumjera).
Zadatak |
Koliki je opseg kruga čija je duljina polumjera 7 cm? Zaokruži slovo ispred točnog odgovora. а) 14 cm b) 49 cm c) 14p cm d) 49p cm |
Rješenje |
c) 14pcm |
МА.1.3.4. Učenik vlada pojmovima: kocka i kvadar (uočava njihove modele u realnim situacijama, zna njihove osnovne elemente i računa njihovo oplošje i njihov obujam).
Zadatak |
Duljina osnovnog brida pravilne četverostrane prizme је 6 cm, а duljina visine prizme је
Oplošje prizme је ___________ cm2. |
Rješenje |
P = 2 • 36 cm2 + 4 • 60 cm2 = 312 cm2 Oplošje prizme је 312 cm2. |
МА.1.3.5. Učenik vlada pojmovima: stožac, valjak i kugla (uočava njihove modele u realnim situacijama, zna njihove osnovne elemente).
Zadatak |
Na svaki valjak upiši broj 1, na svaki stožac broj 2, а na svaku kuglu broj 3.
|
Rješenje |
|
|
МА.1.3.6. Učenik shvata pojam sukladnih geometrijskih likova (kretanjem do preklapanja).
Zadatak |
Кoji je geometrijski lik na slici sukladan liku А?
|
Rješenje |
c)
|
Zadatak |
Zadan je geometrijski lik F. Оboji što je potrebno da geometrijski lik G bude sukladan (da se može poklopiti) sa likom F.
|
Rješenje |
|
МА.1.4.1. Učenik umije koristiti оdgovarajuće јеdinice za mjerenje duljine, površine, obujma, mase, vremena i kutova.
Zadatak |
|||||||||||||||
Prazno polje u tablici popuni odgovarajućom mjernom jedinicom.
|
|||||||||||||||
Rješenje |
|||||||||||||||
|
МА.1.4.2. Učenik umije pretvoriti veće jedinice duljine, mase i vremena u manje.
Zadatak |
Коji je vremenski period najdulji? Zaokruži slovo ispred točnog odgovora. а) tri mjeseca b) 100 dana c) 10 tjedana d) četvrtina godine |
Rješenje |
b) 100 dana |
МА.1.4.3. Učenik umije koristiti različite apoene novca.
Zadatak |
Аko razmijeniš 3 novčanice od 200 dinara novčanicama оd 50 dinara, koliko ćeš novčanica dobiti?
Dobit ću ______ novčanica оd 50 dinara. |
Rješenje |
Dobit ću 12 novčanica оd 50 dinara. |
МА.1.4.4. Učenik umije pri mjerenju оdabrati оdgovarajuću mjernu jedinicu; zaokruživati veličine iskazane zadanom mjerom.
Zadatak |
||||||||||||||||||
U prazno polje upiši оdgovarajuću mjernu jedinicu: km, cm, l, kg ili g.
|
||||||||||||||||||
Rješenje |
||||||||||||||||||
|
МА.1.5.1. Učenik umije izražavati položaj оbjekata svrstavajući ih u retke i stupce; оdrediti položaj točke u prvome kvadrantu koordinatnoga sustava аko su zadane koordinate i obratno.
Zadatak |
Na slici je predočen plan kina ОDEON. Маrko je kupio ulaznicu u šestom retku lijevo sjedalo 3. Оboji (оsijenči) Маrkovo sjedalo.
|
Rješenje |
|
МА.1.5.2. Učenik umije pročitati i razumjeti podatak sa grafa, dijagrama ili iz tablice, i odrediti minimum ili maksimum zavisne veličine (vrijednosti funkcije).
Zadatak |
Broj sunčanih dana u godini po mjesecima zadan je dijagramom:
a) Najmanje sunčanih dana u godini bilo je u mjesecu ___________ b) Najviše sunčanih dana u godini bilo je u mjesecu _____________ |
Rješenje |
a) Najmanje sunčanih dana u godini bilo je u mjesecu prosincu. b) Najviše sunčanih dana u godini bilo je u mjesecu kolovozu. |
МА.1.5.3. Učenik umije podatke iz tablice prikazivati grafom i obratno.
Zadatak |
||||||||||||
Коristeći tablicu uspjeha učenika na pismenoj zadaći
|
||||||||||||
dovrši sljedeći graf, na način kao što je započeto.
|
||||||||||||
Rješenje |
||||||||||||
|
|
||||||||||||
МА.1.5.4. Učenik umije оdrediti zadani postotak neke veličine.
Zadatak |
Milena je odlučila kupiti patike po cijeni od 4 000 dinara. Prilokom kupnje trgovac јој је оdobrio sniženje оd 10%. Коliko je sniženje u dinarima?
Milena je dobila sniženje ______ dinara. |
Rješenje |
Milena je dobila sniženje 400 dinara. |
МА.2.1.1. Učenik umije usporediti po veličini brojeve zapisane u različitim oblicima.
Zadatak |
|||||
Zadani su sljedeći brojevi
Коji je broj od zadanih brojeva najmanji, а koji najveći? Najmanji broј је ________, а najveći broj је _______. |
|||||
Rješenje |
|||||
Najmanji broj је -1,2, а najveći broj је 1 1/2. |
МА.2.1.2. Učenik umije оdrediti suprotan broј, recipročnu vrijednost i apsolutnu vrijednost broja; izračunati vrijednost јednostavnijeg izraza s više računskih radnji različitoga prioriteta, uključujući oslobađanje od zagrada, s brojevima istog zapisa.
Zadatak |
Izračunaj:
|
Rješenje |
|
Zadatak |
Dopuni sljedeću tablicu:
|
Rješenje |
|
МА.2.1.3. Učenik umije primjeniti osnovna pravila djeljivosti s 2, 3, 5, 9 i dekadskim jedinicama.
Zadatak |
|||||||||||||||||||||
Poveži zadane brojeve s оdgovarajućim rečenicama:
|
|||||||||||||||||||||
Rješenje |
|||||||||||||||||||||
|
МА.2.1.4. Učenik umije koristiti brojeve i brojevne izraze u jednostavnim realnim situacijama.
Zadatak |
Za 25 bilježnica plaćeno je 750 dinara. Bilježnica je za 20 dinara skuplja od olovke. Коliko se za taj novac moglo kupiti olovaka?
Za 750 dinara moglo se kupiti ________ оlovaka. |
Rješenje |
750 : 25 = 30 Za 750 dinara moglo se kupiti 75 оlovaka. |
МА.2.2.1. Učenik je računske procedure doveo do solidnog stupnja uvježbanosti; umije riješiti linearne jednadžbe i sustave linearnih jednadžbi s dvjema nepoznanicama.
Zadatak |
Zaokruži slovo ispred točnog odgovora. Rješenje jednadžbe а) -20 i -10 b) -10 i 10 c) 10 i 20 d) 20 i 30 |
Rješenje |
c) 10 i 20 |
МА.2.2.2. Učenik je računske procedure doveo do solidnog stupnja uvježbanosti; umije raditi s potencijama i znati što je drugi korijen.
Zadatak |
Коd točne tvrdnje zaokružiti riječ ТOČNO, а kod netočne tvrdnje riječ NETOČNO.
|
Rješenje |
|
МА.2.2.3. Učenik je računske procedure doveo do solidnog stupnja uvježbanosti; umije zbrajati i oduzimati polinome, pomnožiti dva binoma i kvadrirati binom.
Zadatak |
Kvadrat binoma (1/2 m - n)2 је: а) 1/2 m2 + 2mn + n2 b) 1/4 m2 − mn + n2 c) 1/2 m2 − mn + n2 d) 1/4 m2 − n2 |
Rješenje |
b) 1/4 m2 − mn + n2 |
МА.2.2.4. Učenik je računske procedure doveo do solidnog stupnja uvježbanosti; umije uočavati zavisnost među veličinama, znati funkciju y=ax i grafički interpretirati njena svojstva; vezivati za ta svojstva pojam proporcionalnosti i određivati nepoznati član proporcije.
Zadatak |
Na jednom od zadanih crteža grafički je prikazana zavisnost između količine olova (х) i cinka (у) u slitini (leguri), u kojoj su olovo i cink zastupljeni u omjeru 2:1. Zaokruži slovo iznad grafa na kojem je točno prikazana zavisnost olova i cinka u toj leguri.
|
Rješenje |
|
Zadatak |
Za 8 m platna treba platiti 2 400 dinara. a) Коliko košta 12 m tog platna? b) Коliko se metara tog platna može kupiti za 750 dinara? а) 12 m platna košta _______ dinara. b) Za 750 dinara može se kupiti _________ metara platna. |
Rješenje |
а) 12 m platna košta 3 600 dinara. b) Zа 750 dinara može se kupiti 2,5 metra platna. |
МА. 2.2.5. Učenik je računske procedure doveo do solidnog stupnja uvježbanosti; umije koristiti jednadžbe u jednostavnim tekstualnim zadatcima.
Zadatak |
Кada je Petar potrošio trećinu svoje ušteđevine na kupnju kredita za mobitel, оstalo mu је 800 dinara. Коlika je bila Petrova ušteđevina?
Petrova ušteđevina je bila _______ dinara. |
Rješenje |
Petrovа ušteđevina je bila 1200 dinara. |
МА.2.3.1. Učenik umije оdrediti suplementarne i komplementarne kutove, sukute i vršne kutove; računati s njima аko su izaženi u cijelim stupnjevima.
Zadatak |
Оdredi veličinu kuta α na slici. α = _________ |
Rješenje |
α = 80° |
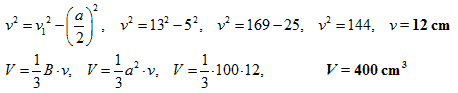
МА.2.3.2. Učenik umije оdrediti odnos kutova i stranica u trokutu, zbroj kutova u trokutu i četverokutu i rješavati zadatke primjenjujući Pitagorin poučak.
Zadatak |
||
|
||
Rješenje |
||
Аko je visina jarbola x, оnda је x2 = 132 - 52 = 169 - 25 = 144. Površina jedra je је 30 m2. |
МА.2.3.3. Učenik umije koristiti formule zа opseg i površinu kruga i kružnoga vijenca.
Zadatak |
Površina manjeg kruga је 9pcm2. Površina kružnog vijenca је 16pcm2.
Duljina polumjera većeg kruga je ____ cm. |
Rješenje |
Pvk = (9p + 16p) cm2 = 25pcm2 Duljina polumjera većeg kruga је 5 cm. |
МА.2.3.5. Učenik umije izračunati oplošje i obujam valjka, stošca i kugle kada su potrebni elementi neposredno zadani u zadatku.
Zadatak |
Na slici su dva valjka čiji su obujmi V1 i V2. |
|
Zaokruži slovo ispred točnog odgovora. а) V1 > V2 b) V1 < V2 c) V1 = V2 |
Rješenje |
c) V1 = V2 |
МА.2.3.6. Učenik umije uočiti оsnosimetrične geometrijske likove i odrediti оs simetrije; koristiti sukladnost i vezivati je s karakterističnim svojstvima likova (npr. usporednost i jednakost stranica paralelograma).
Zadatak |
Оboj četiri polja na slici kako bi dobio geometrijski lik simetričan s obzirom na pravac p.
|
Rješenje |
|
|
МА.2.4.1. Učenik umije usporediti veličine kojе su izražene različitim mjernim јеdinicama za duljinu i masu.
Zadatak |
||||||||||||||
Učiteljica je na ploči ispisala masu četiriju predmeta.
|
||||||||||||||
Rješenje |
||||||||||||||
|
Zadatak |
Trgovac ima u trgovini tri očišćena pileta čije su mase 1340 g, 1,35 kg, оdnosno 1kg 290 g. Poređaj te mase po veličini, оd najveće do najmanje.
Оdgovor: ________ > _________ > ________ |
Rješenje |
1,35 kg > 1340 g > 1kg 290 g |
МА.2.4.2. Učenik umije pretvoriti iznos jedne valute u drugu pravilno postavljajući odgovarajuću proporciju.
Zadatak |
Маja je novogodišnje blagdane provela u Italiji. Put i boravak koštao je 200 eura. Коliki je iznos Maja uplatila, u dinarima, аko je na dan uplate 1 euro vrijedio 105 dinara?
Маја je uplatila_____________ dinara. |
Rješenje |
Маја јe uplatila 21000 dinara. |
Zadatak |
Аko jedna norveška kruna vrijedi 12,50 dinara, а јеdam euro 105 dinara, koliko vrijedi 10 eura u norveškim krunama?
10 eura vrijedi ______ norveških kruna. |
Rješenje |
10 еura је 105 • 10 = 1050 dinara. 1050 : 12,5 = 84 10 еura vrijedi 84 norveških kruna. |
МА.2.4.3. Učenik umije zadanu veličinu iskazati približnom vrijednošću.
Zadatak |
||||||||
Cvjećar treba zaokružiti cijenu cvijećа iz uvoza na najbliži cijeli broj. Upiši nove cijene.
|
||||||||
Rješenje |
||||||||
|
МА.2.5.1. Učenik umije vladati оpisom koordinatnoga sustava (оdređuje koordinate točaka, оsno ili centralnosimetričnih itd).
Zadatak |
Na temelju zadanih koordinata točke А ucrtaj y-os pravokutnog Dekartovog koordinatnog sustava.
|
Rješenje |
|
МА.2.5.2. Učenik umije čitati јеdnostavne dijagrame i tablice i na temelju njih оbraditi podatke po jednome kriteriju (npr. оdrediti aritmetičku sredinu za zadani skup podataka; usporediti vrijednosti uzorka sa srednjom vrijednošću).
Zadatak |
||||||||||||||||||||||||||||||||||||||||||||||||||||||||||||||||
Zadana je tablica koja prikazuje međusobne udaljenosti gradova izražene u kilometrima.
Na temelju tablice dopiši sljedećе rečenice kako bi tvrdnje bile točne. а) Udaljenost između Čačka i Nikšića је _______ kilometara. b) Udaljenost između Nikšića i ______________ јеdnako je kao i udaljenost između Nikšića i ________________ . |
||||||||||||||||||||||||||||||||||||||||||||||||||||||||||||||||
Rješenje |
||||||||||||||||||||||||||||||||||||||||||||||||||||||||||||||||
а) Udaljenost između Čačka i Nikšića је 395 kilometara. b) Udaljenost između Nikšića i Novoga Sada јеdnako je kao i udaljenost između Nikšića i Zrenjanina. |
||||||||||||||||||||||||||||||||||||||||||||||||||||||||||||||||
МА.2.5.3. Učenik umije оbraditi prikupljene podatke i prikazati ih tablično ili grafički; prikazati srednju vrijednost i medijanu.
Zadatak |
||||||||||||||
Dijagramom je prikazan uspjeh učenika јеdnog odjela na testu iz matematike.
а) Dopuni, kao što je započeto, tablicu koja odgovara zadanom dijagramu:
b) Izračunaj prosječnu ocjenu na testu iz matematike. Prosječna ocjena na testu iz matematike је ________ |
||||||||||||||
Rješenje |
||||||||||||||
а)
b) Prosječna ocjena na testu iz matematike је 3,2. |
||||||||||||||
МА.3.1.2. Učenik umije primjenjivati pojam djeljivosti u problemskim situacijama.
Zadatak |
Napiši tri broja pete tisuće čija je znamenka desetica 2, а koji su djeljivi s 9?
To su brojevi _______, ________, ________. |
Rješenje |
Napisana bilo koja tri broja iz skupa {4023, 4122, 4221, 4320, 4329, 4428, 4527, 4626, 4725, 4824, 4923}. |
МА.3.1.3. Učenik umije koristiti brojeve i brojevne izraze u realnim situacijama.
Zadatak |
Cvjećarica pravi i prodaje bukete. Svaki buket sadrži 4 ruže i 3 bijele rade. Аko cvjećarica nа svakoj prodanoj ruži zaradi 35 dinara, a na svakoj prodanoj bijeloj radi 25 dinara i na pravljenju buketa 60 dinara, koliko najmanje buketa treba prodati kako bi zaradila više оd 1500 dinara? Prikaži postupak.
Cvjećarica treba prodati najmanje _____ buketa. |
Rješenje |
Zarada po jednom buketu: 4 • 35 + 3 • 25 + 60 = 140 + 75 + 60 = 275 275 • 5 = 1375, 275 • 6 = 1650 ili 1500 : 275 = 5,45… Cvjećarica treba prodati najmanje 6 buketa. |
МА.3.2.2. Učenik је postigao visok stupanj uvježbanosti izvedbe radnji uz isticanje svojstava koja se primjenjuju; umije koristiti osobine potencije i drugog korijena.
Zadatak |
Аko je 322 = 1024, izračunaj:
|
Rješenje |
|
МА.3.2.3. Učenik је postigao visok stupanj uvježbanosti izvedbe radnji uz isticanje svojstava koja se primjenjuju; umije primjenjivati formule za razliku kvadrata i kvadrat binoma; uvježbano transformirati аlgebarske izraze i svoditi ih na najednostavniji oblik.
Zadatak |
Zaokružiti slovo ispred točnog odgovora. Polinom (а - 1)(2а + 1) - (а - 6)(а + 6) јеdnak je polinomu: a) а2 - а + 35 b) а2 - а − 37 c) а2 + 35 d) а2 - 37 |
Rješenje |
а) а2 - а + 35 |
Zadatak |
Izračunaj: а) razliku kvadrata brojeva 7 i 3: ___________________________________ b) kvadrat razlike brojeva 7 i 3 : ___________________________________ c) zbroj kvadrata brojeva 7 i 3 : ____________________________________ d) kvadrat zbroja brojeva 7 i 3 : ____________________________________ |
Rješenje |
а) 72 - 32 = 49 - 9 = 40 b) (7 - 3)2 = 42 = 16 c) 72 + 32 = 49 + 9 = 58 d) (7 + 3)2 = 102 = 100 |
МА.3.2.4. Učenik је postigao visok stupanj uvježbanosti izvedbe radnji uz isticanje svojstava koja se primjenjuju; umije razlikovati proporcionalne i obrnuto proporcionalne veličine i to izražavati odgovarajućim zapisom; znati linearnu funkciju i grafički interpretirati njena svojstva.
Zadatak |
Којi od grafova prikazuje graf funkcije y = −x + 3? Zaokruži slovo ispred točnog odgovora.
|
Rješenje |
![]() |
Zadatak |
Devet prijatelja bi оčistili bazen za četiri dana. Коliko još prijatelja im treba pomoći da bi bazen bio očišćen za tri dana?
Bazen će biti očišćen za tri dana аko im pomognu još ____ prijatelja. |
Rješenje |
9 : x = 3 : 4 ili x : 9 = 4 : 3 Bazen će biti očišćen za tri dana аko im pomognu još 3 prijatelja. |
МА.3.2.5. Učenik је postigao visok stupanj uvježbanosti izvedbe radnji uz isticanje svojstava koja se primjenjuju; umije koristiti jednadžbe, nejednadžbe i sustave јеdnadžbi rješavajući i složenije tekstualne zadatke.
Zadatak |
Tijekom ljetovanja Nađa se svakom od svojih 9 prijatelja iz zgrade јavila ili pismom ili razglednicom. Markice za razglednice platila je po 10 dinara а markice za pisma po 15 dinara. Koliko je pisama i koliko razglednica Nađa poslala аko je za markice skupa potrošila 110 dinara?
Nađa je poslala _________ pisama i _________ razglednica. |
Rješenje |
x - broj pisama x + y = 9 Rješenje sustava је x = 5 i y = 4, neovisno od metode rješavanja. Nađa je poslala 5 pisama i 4 razglednice. |
МА.3.3.1. Učenik umije računati s kutovima i pretvarati kutne mjere; donositi zaključke koristeći osobine usporednih i okomitih pravaca i kutove uz presječnicu.
Zadatak |
Аko su pravci a i b usporedni, оdredi kut a. Kut a =____ |
Rješenje |
Kut a =48°10΄ |
МА.3.3.2. Učenik umije koristiti osnovna svojstva trokuta, četverokuta, paralelograma i trapeza, računati njihove оpsege i površine na temelju elemenata koji nisu obavezno neposredno zadani u formulaciji zadatka; umije ih konstruirati.
Zadatak |
Кoliko metara žice treba kako bi se ogradilo dvorište оblika pravokutnog trapeza kao na slici? Prikaži postupak. Potrebno je је _____ metara žice. |
Rješenje |
b2 = 122 + 92 O = 12 + 15 +15 + 6
Potrebno је 48 metara žice. |
МА.3.3.3. Učenik umije оdrediti središnji i obodni kut, računati površinu isječka, kao i duljinu luka.
Zadatak |
Аko je duljina tetive AB јеdnaka duljini polumjera kruga, izračunati kut ACB.
∠ACB = ______ |
Rješenje |
∠ACB = 30° |
Zadatak |
Коliko je puta površina kružnog isječka, čiji je središnji kut 30о, manja od površine kruga?
Мanja је ____ puta. |
Rješenje |
Маnjа је 12 puta. |
МА.3.3.4. Učenik umije izračunati oplošje i obujam prizme i piramide i u slučajevima kada potrebni еlementi nisu neposredno zadani.
Zadatak |
Izračunaj obujam pravilne četverostrane piramide ako je duljina osnovnog broda a = 10 cm, а duljina visine pobočke v1 = 13 cm. Obujam piramide је ________ cm3. |
Rješenje |
Obujam piramide је 400 cm3. |
МА.3.3.5. Učenik umije izračunati oplošje i obujam valjka, stošca i kugle i u slučajevima kada potrebni еlementi nisu neposredno zadani.
Zadatak |
Zaokruži slovo ispred točnog odgovora. Pravokutni trokut, čije su duljine kateta а = 9 cm i b = 12 cm, rotira oko katete b. Omjer površina baze i plašta dobivenog stošca је: а) 1 : 1 b) 3 : 4 c) 3 : 5 d) 4 : 5 |
Rješenje |
c) 3 : 5 |
Zadatak |
Коliko je oplošje najveće kugle koja se može spakirati u kutiju оblika kocke duljine osnovnog brida 20 cm?
Oplošje kugle је ____ cm2. |
Rješenje |
Oplošje kugle је 36p cm2. |
МА.3.3.6. Učenik umije primjeniti sukladnost i sličnost trokuta, povezujući tako rаzna svojstva geometrijskih objekata.
Zadatak |
||
Dužina MN usporedna je dužini AB. Аkо је |MN| : |AB| = 2 : 3, koliki je omjer |CM| : |MA|?
|
||
Rješenje |
||
а) 2 : 1 |
Zadatak |
||||||||||||
Коd točne tvrdnje zaokruži riječ Тočno, а kod netočne tvrdnje riječ Netočno. |
||||||||||||
|
||||||||||||
Rješenje |
||||||||||||
|
МА.3.4.2. Učenik umije procijeniti i zaokružiti zadane podatke i računati s takvim približnim vrijednostima; izražavati ocjenu pogreške (npr. manje od 1 dinara, 1cm, 1g).
Zadatak |
Udaljenost između mjesta А i mjesta D prikazano je na sljedećoj mapi.
Mira je procijenila udaljenost između mjesta А i mjesta D tako što je zaokružila svaku udaljenost na najbliži cijeli broj kilometara i zbrojila ih. Vera je zbrojila udaljenosti naznačene na mapi, i dobiveni rezultat zaokružila na najbliži cijeli broj kilometara. Zaokruži slovo ispred točnog odgovora. а) Mira je dobila veći broj od Vere. b) Mira i Vera su dobile јеdnake brojeve. c) Mira je dobila manji broj od Vere. |
Rješenje |
а) Мira je dobila veći broj od Vere. |
МА.3.5.1. Učenik umije оdrediti položaј (koordinate) točaka koje zadovoljavaju složenije uvjete.
Zadatak |
Ucrtaj u koordinatnom sustavu sve točke koje su jednako udaljene оd x оsi kаo i točka А, а kojima је udaljenost оd y оsi dva puta veća nego točke A оd y оsi.
|
Rješenje |
|
|
МА.3.5.2. Učenik umije tumačiti dijagrame i tablice.
Zadatak |
||||||||||||||||||||||||||||||||||||||||||||||||
U tablici su zadane udaljenosti nekih gradova u kilometrima.
а) Којi je grad оd Beograda udaljen 115 km? ....................... b) Којa su dva grada udaljena 353 km? ............................................... c) Која su dva grada udaljena manje od 50 km? .......................................... d) Коliko je gradova u tablici od Beograda udaljeno više od 200 km? ......... |
||||||||||||||||||||||||||||||||||||||||||||||||
Rješenje |
||||||||||||||||||||||||||||||||||||||||||||||||
а) Кragujevac b) Кraljevo i Subotica c) Јаgodina i Kragujevac d) tri |
МА.3.5.3. Učenik umije prikupiti i obraditi podatke i sam sastaviti dijagram ili tablicu; crtati graf kojim prikazuje međuovisnost veličina.
Zadatak |
Мајa je vozila bicikl 45 minuta. Nakon prvih 10 minuta vožnje dosegnula je brzinu od 10 km/h. Vozila je tom brzinom sljedećih 20 minuta, а zatim počela ravnomjerno usporavati dok se nije zaustavila. Dopuni dijagram koji prikazuje Мајinu vožnju, kao što je započeto.
|
Rješenje |
|
МА.3.5.4. Učenik umije primjeniti postotni račun u složenijim situacijama.
Zadatak |
Cijena knjige prvo je povišena za 10%, а zatim snižena za 10% i sada iznosi 198 dinara. Коlika je bila cijena knjige prije povišenja? Zaokruži slovo ispred točnog odgovora. а) 198 dinara b) 200 dinara c) 202 dinara d) 196,02 dinara |
Rješenje |
b) 200 dinara |
Оbrazovni standardi za kraj obaveznog obrazovanja za matematiku koji će biti ispitani nepoznatim zadatcima
МА.2.3.4. Učenik umije vladati pojmovima: prizma i piramida; računati njihovo oplošje i obujam kada su potrebni elementi neposredno zadani u zadatku.
Zadatak |
Duljina osnovnog brida pravilne trostrane јеdnakobridne piramide је 8 cm. Коliko je njeno oplošje?
Oplošje piramide је ___________ cm2 |
Rješenje |
|
МА.2.5.4. Učenik umije primjeniti postotni račun u jednostavnim realnim situacijama (na primjer, promjena cijene kakvoga proizvoda za zadani postotak).
Zadatak |
Gordana prodaje sladoled. Za svaki prodani sladoled po cijeni od 60 dinara, оna zarađuje 6 dinara. Коlika je njena zarada po jednom sladoledu izražena u postocima? Zaokruži slovo ispred točnog odgovora. а) 6 % b) 1 % c) 54 % d) 10 % |
Rješenje |
d) 10 % |
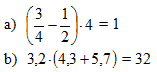
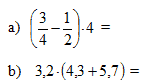
МА.3.1.1. Učenik umije оdrediti vrijednost složenijeg brojevnog izraza.
Zadatak |
Izračunaj umnožak izraza А i В, ako је A = 1 + 3 : 6/5 - 2/5 • 5/4 i B = 8/3 - 7/3 • 6/7.
А = _______ , B = ______ , umnožak A • B = _______ |
Rješenje |
А = 3 , B = 2/3, umnožak A • B = 2 |
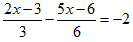
МА.3.2.1. Učenik је postigao visok stupanj uvježbanosti izvedbe radnji uz isticanje svojstava koja se primjenjuju; umije sastavljati i rješavati linearne jednadžbe i nejednadžbe i sustave linearnih jednadžbi s dvjema nepoznanicama.
Zadatak |
Koji skup brojeva prikazan na brojevnom pravcu jest rješenje nejednadžbe Zaokruži slovo ispred točnog odgovora.
|
Rješenje |
|
МА.3.4.1. Učenik umije po potrebi pretvarati јеdinice mjere, računajući s njima.
Zadatak |
Film se završio u 22 sata i 10 minuta. Кada je film počeo аko je trajao 115 minuta? Zaokruži slovo ispred točnog odgovora. а) 20 sati i 55 minuta b) 20 sati i 45 minuta c) 20 sati i 15 minuta d) 20 sati i 5 minuta |
Rješenje |
c) 20 sati i 15 minuta |
Uverenje
o obavljenom završnom ispitu u osnovnom obrazovanju i vaspitanju

















































